2.2 변수
title: “2.2 변수” categories:
-
UDONSHARPcourse
#2.2 변수 : 네이버 블로그
전 강의는 멀쩡히 넘어 오셨나요?
그럼 다행이네요
바로 시작하겠습니다
이번 강의는
변수입니다
변수랑 뭐냐?
데이터를 담는 그릇입니다
쉽게 예시를 들자면
x+y=10이고
x=3 일때 y는 몇인가요?
y는 7이겠지요?
이렇게 x라는 얘는 3이라는 값을 가지고
y라는 얘는 7이란 값을 가지죠
이것이 변수입니다
변수는 이름과 값을 가지고 있습니다
프로그래밍에서는 자료형이란 개념이 추가됩니다
자료형은 변수의 종류를 뜻합니다
수학에서 변수의 자료형은 숫자이지만
프로그래밍에서 변수의 자료형은 다양합니다(숫자,문자)
이 강의에서는 4개만 설명하겠습니다
☆☆☆☆중요도 매우높음!!☆☆☆☆
☆int 형
정수입니다
정수는 0,1,2,3 처럼 소수점이 없는 수입니다
☆float형
소수입니다
소수는 0.123 36.5 처럼 소수점이 있는 수입니다
☆bool 형
true 나 false (참 거짓)중 하나의 데이터를 갖습니다
거울이 켜지면 true
거울이 꺼지면 false 입니다
☆String형
문자열입니다
플레이어 이름처럼 단어나 문장입니다.
처음 보면 이해가 잘 안가지요?
괜찮습니다. 자주 볼 얘들이라 곧 외워질거에요 ㅎㅎ
1. int 형
int를 먼저 봅시다
int는 위에 설명에 뭐라고 써져있죠?
정수라고 써져있지요?
숫자에는 크게 두가지 종류가 있는데
1,2,3,4처럼 1씩 늘어나는 수입니다
바로 예제로 보겠습니다
큐브를 만들고 우동 코드를 열어주세요
int x = 0;
int y = 0;
public override void Interact()
{
x = x + y;
Debug.Log(x);
}
를 쳐주세요
먼저 코드의 맨 위쪽에
int x=0;
int y=0;이라는 코드가 있죠?
얘는 x,y라는 이름의 변수를 사용할거라고 선언한것입니다
선언의 위치는
첫 번째 { 중괄호 다음에 옵니다
선언을 할 때는
자료형 이름 = 값; 의 형식을 가집니다
int x=3에서
자료형은 int(정수)
이름은 x
값은 0이죠?
그럼 한번
자료형 int
이름 z
값이 10인 변수를 선언해보겠어요?
int z = 10; 를 치면 되겠지요?
이제 인터렉트를 보겠습니다
x= x+y;
는 x에 x+y의 값을 넣는 코드입니다
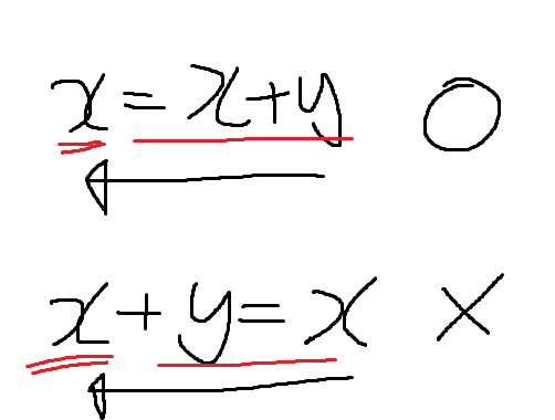
수학에서는 x+y=x라고 쓰지요?
프로그래밍에선 x=x+y라고 씁니다
=의 위치에 주의하세요!
중요한점은 값은 오른쪽에서 왼쪽으로 값이 들어간다는 점입니다
이번엔 x에 z를 더해보겠습니다
코드를 먼저 써보시고 아래 답을 확인해보시겠어요?
x에 z를 더해주세요
x=x+z라는 코드를 넣으면 돼죵?
그럼 x의 값은 어떻게 될까요?
위에
x=0
y=0
z=10
이죠?
그 후 인터렉트는
x=x+y
x+x+z니깐
x는 10이겠지요?
저장 하고 플레이 해보겠습니다
로그를 보면 x의 값이 10씩 늘어나는걸 볼 수 있죠?
이번엔 약간 추가해보겠습니다
public int Number = 0;
public override void Interact()
{
Debug.Log(Number);
}
라는 코드를 쳐주세요!
코드를 먼저 볼까요?
인터렉트를 하면 어떻게 될까요?
Debug.Log(Number)가 실행되면서
Number의 값이 로그에 뜨겠죠?
중요한 부분은 선언 앞에 public이 붙는다는 것입니다.
public을 앞에 쓰면 외부에서 값을 가져올 수 있습니다
저장해주시고 유니티로 가주세요
우동 스크립트 부분을 보면 Number라는 칸이 생겼지요?
변수 선언 앞에 public 을 넣으면 외부에서 값을 넣을 수 있습니다
123을 한번 넣어보고 실행 해볼까요?
로그에 123이 뜨는것이 확인이 돼죵?
2. float형
float 기억 나시나요?
소수 자료형이였죠? 0.1 0.123 그런 소수들
소수는 언제 사용하냐
오브젝트의 위치 관련해서 가장 많이 사용합니다
예를 들어 특정 오브젝트와 플레이가 가까워지면 작동돼는 이벤트를 만든다 할때
float를 사용합니다
또 0.1초 0.02초 등 시간을 다룰 때 사용합니다
사용법은 간단합니다
int처럼 float를 치면 됩니다
실행은 하지 말고 넘어갈게용~~
3. bool 형
bool 형은 true냐 false냐 두개의 값 중 하나만 갖습니다
예시로는
거울을 껏다 킬때 사용합니다
바로 예제로 가겠습니다
bool A = true;
public override void Interact()
{
Debug.LogError(A);
A = !A;
}
요 코드를 쳐주세요
bool A = true;
A는 true라는 값을 가집니다
인터렉트 안에
Debug.LogError(A)는
A의 값을 로그로 띄우는 코드입니다
중요한 다음 코드
A=!A입니다
!(느낌표)는
bool에서 값을 반대로 바꿉니다
즉 true면 false로
false면 true로 바꿉니다
즉 이 코드는
작동하면 A값을 띄우고 A값을 반대로 바꾸는 코드입니다
실행을 하고 콘솔창을 보면 True 와 False가 보이죠?
이걸 이용해 거울 껏다 키기가 가능합니다
mirror를 검색해 넣어주세요
그리고 코드로 돌아가
public GameObject 거울; 을 선언해주시고
인터렉트 안에
거울.SetActive(A); 을 넣어주세요
SetActive(A)는 괄호 안이 true냐 false냐에 따라 키거나 끄는 코드입니다
저장 후 유니티로 가서
우동 비헤이버를 보면
거울이 있죠?
아까 꺼낸 거울을 연결해주시고 실행해주세요
타겟 인터렉트를 하면 거울이 꺼졌다 켜지는 것을 알 수 있습니다
4. String형
마지막 문자열입니다
문자열은 플레이어 이름. 오브젝트의 이름 같이 단어나 글자입니다
예제로 가겠습니다
string str 이라는 변수를 선언했습니다
값은 “String 예제입니다” 으로 넣어주세요
문자열을 넣을 때는 이게 명령어인지 구분하기 위해 ““큰따옴표가 필요합니다
인터렉트의
this.gameObject.name = str;는
이 게임 오브젝트의 이름을 str로 바꾸는 코드입니다
저장을 하고 실행을 한 후
인터렉트를 하면
큐브의 이름이 바뀌는 것을 알 수 있습니다
이것으로 대표적인 프로그래밍 자료형 4개를 알아보았습니다

























